Ответы
Ответ дал:
1
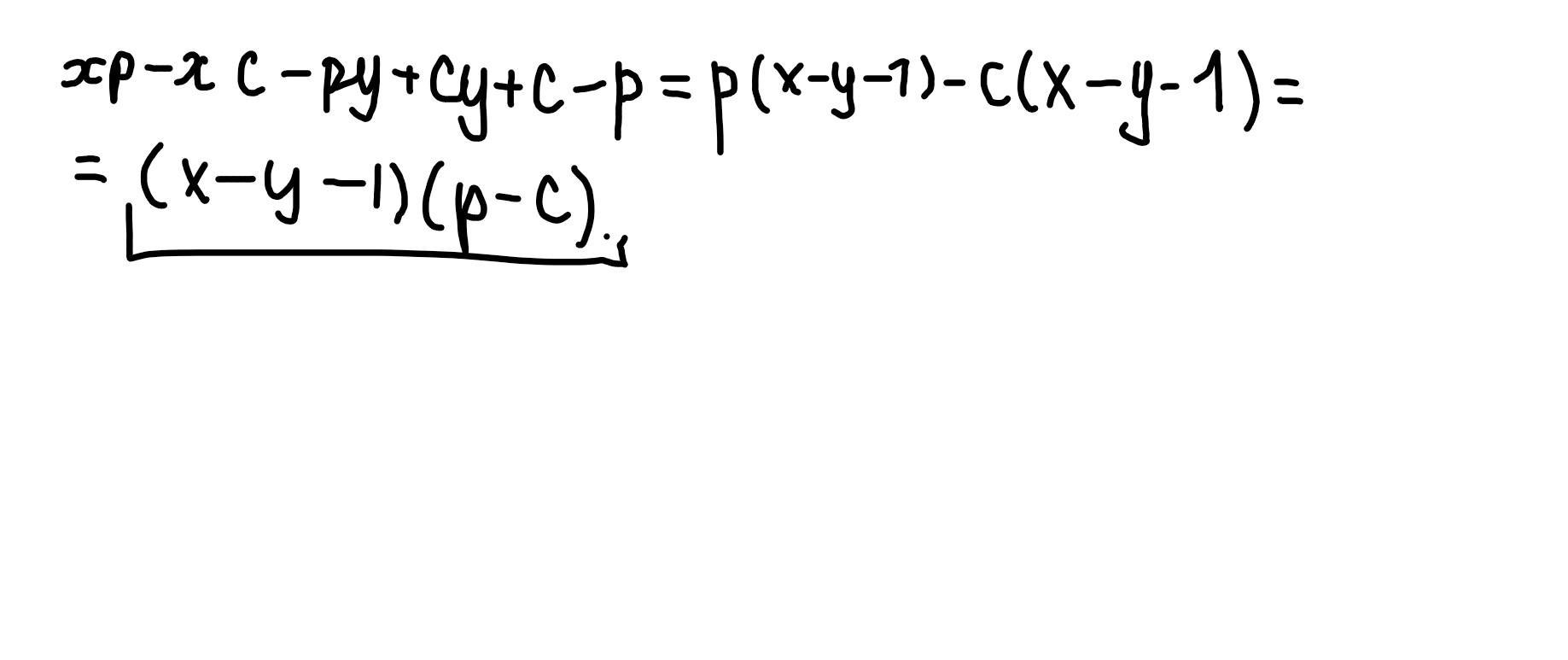
смотрите фото.........................
Приложения:

ki2780537:
а можете подчеркнуть что с чем вы группировали?
Вас заинтересует
2 года назад
2 года назад
2 года назад
2 года назад
8 лет назад
8 лет назад
9 лет назад