• Предмет: Алгебра
  • Автор: Аноним
  • Вопрос задан 7 лет назад

помогите пожалуйста!!!!​

Приложения:

Ответы

Ответ дал: dashulka22222
0

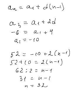
Ответ:

n=32

Объяснение:

Приложения:
Вас заинтересует