• Предмет: Алгебра
  • Автор: Аноним
  • Вопрос задан 7 лет назад

помогите решить пожалуйста ​

Приложения:

Ответы

Ответ дал: dashulka22222
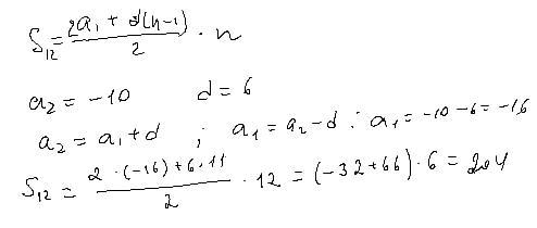
1

Ответ:

204

Объяснение:

Приложения:

Аноним: спасибо
Вас заинтересует