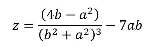
Допоможіть( треба скласти в python програму для обчислення значення виразу:(прикріплю фото) допоможіть хто може 40 балів
Приложения:

YuraPy:
Прикріпи фото
Ответы
Ответ дал:
1
a=1
b=1
z=((4*b-a**2)/((b**2+a**2)**3))-7*a*b
print(z)
Вас заинтересует
2 года назад
2 года назад
2 года назад
8 лет назад
8 лет назад
9 лет назад