• Предмет: Математика
  • Автор: ala333lalal
  • Вопрос задан 7 лет назад

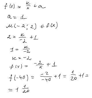
На рисунке изображён график функции f(x)=(k/x)+a. Найдите f(-40)

Приложения:

Ответы

Ответ дал: dashulka22222
2

Ответ:

Пошаговое объяснение:

График поднятый на единицу вверх, поэтому а=1

Приложения:
Вас заинтересует