Тест по теме: «вынесение общего множителя за скобки.»
Вынесите за скобку общий множитель:
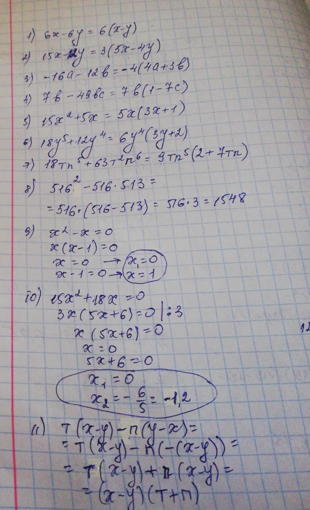
1. 6х- 6у
а) 6(х-6у) б(у-6х) в) (6х)-у г)6(х-у)
2. 15х- 12у
а) 3(5х- 4у) б) 3(4у- 5х) в) 3(5у-4х) г) 5(3х- 2у)
3. - 16а – 12в
а) – 4(4а - 3в) б) – 4(4а+3в) в) 4(4а+3в) г) 4(-4а+3в)
4. 7в – 49вс
а) в(7 – 49с) б)7(в – 7вс) в) 7в(1 – 49с) г) 7в(1 – 7с)
5. 15х2+5х
а)5(х2+х) б)х(15х+5) в) 5х(3х+1) г) 15х(х+1)
6. 18у5+12у4
а) 3у4(6у+4) б) 6у4(3у+2) в) 6у4(3у+2) г) 6у3(3у2+2у)
7. 18тп5+63т2п6
а)9тп5(2+7тп) б)3тп4(6т+7тп) в)9тп4(2т+7тп) г)9тп5(2+7т)
8. Вычислите: 5162 – 516 · 513
а) 3 б) 516 в)1032 г)1588
Решите уравнение:
9. х2 – х=0
а) х=0; х= -1 б) х=1; х= - 1 в) х=0,1; х=1 г)х=0 ; х=1
10. 15х2+18х=0
а) х=0; х= - б) х=0; х= в) х=0; х= - г)х=0; х=
11.Разложите на множители: т(х – у) – п(у - х)
а(х - у)(т-п) б) (х - у)(т+п) в) (у-х)(п-т) г) (у-х)(т-п)
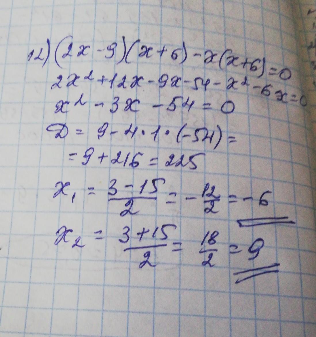
12. Решите уравнение: (2х – 9)(х+6) – х(х+6)=0
а) х=6; х=0 б) х= - 6;х=0 в)х=-6; х=2 г)х=-6
Ответы
Ответ дал:
1
Ответ:
Смотри решение на фото...
Приложения:


Аноним:
а 12-й?
Вас заинтересует
2 года назад
2 года назад
2 года назад
8 лет назад
8 лет назад
9 лет назад