Ответы
Ответ дал:
1
Ответ:
Объяснение:
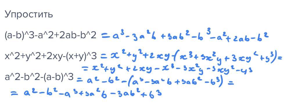
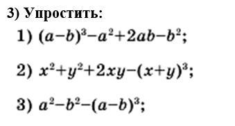
x^2+y^2+2xy-(x+y)^3=(x+y)²-(x+y)³=(x+y)²(1-x-y)=(x+y)(x+y)(1-x-y)
(a-b)^3-a^2+2ab-b^2=(a-b)³-(a-b)²=(a-b)(a-b)(a-b-1)
a^2-b^2-(a-b)^3=(a-b)(a+b)-(a-b)³=(a-b)(a+b-a²+2ab-b²)
Ответ дал:
0
Ответ на фотографии
Приложения:

Вас заинтересует
2 года назад
2 года назад
2 года назад
2 года назад
8 лет назад
8 лет назад
9 лет назад