• Предмет: Математика
  • Автор: Terrrassa
  • Вопрос задан 7 лет назад

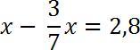
Решите уравнение:
2.

Приложения:

Ответы

Ответ дал: virabilinec1
1

Ответ:

х - 3/7х = 2,8

переведем все в неправильные дроби:

х - 3/7х = 28/10

7/7х - 3/7х = 28/10

4/7х = 28/10

Чтобы найти неизвестный множитель, надо произведение разделить на известный множитель.

х = 28/10 : 4/7

х = 28/10 * 7/4

сокращаем:

х = 7/10 * 7/1

х = 49/10

х =4,9

проверка:

49/10 - 3/7 * 49/10 = 28/10

2/10 = 28/10

верно

ответ: х = 4,9


Terrrassa: ты лучший
Terrrassa: спасибо дружище
Вас заинтересует