В каком случае выражение преобразовано в тождественно равное?
а) (m-2) в квадрате= m в квадрате -4
б) (y-z) в квадрате=у в квадрате - 2yz-z квадрате
в) (b+c) в квадрате= b в квадрате + с квадрате
г) (3+n) в квадрате= 9+6n+n в квадрате
Ответы
Ответ дал:
0
"""""""""""""""""""""""""""""""""""""""""""
Приложения:

Ответ дал:
0
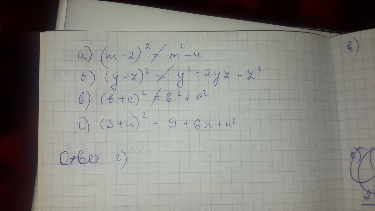
а) (m-2) в квадрате= m в квадрате -4
m^2-4m+4 <>m^2-4
б) (y-z) в квадрате=у в квадрате - 2yz-z квадрате
y^2-2yz+z^2 <> y^2-2yx-z^2
в) (b+c) в квадрате= b в квадрате + с квадрате
b^2+2bc+c^2<>b^2+c^2
г) (3+n) в квадрате= 9+6n+n в квадрате
9+6n+n^2=9+6n+n^2
ответ Г
m^2-4m+4 <>m^2-4
б) (y-z) в квадрате=у в квадрате - 2yz-z квадрате
y^2-2yz+z^2 <> y^2-2yx-z^2
в) (b+c) в квадрате= b в квадрате + с квадрате
b^2+2bc+c^2<>b^2+c^2
г) (3+n) в квадрате= 9+6n+n в квадрате
9+6n+n^2=9+6n+n^2
ответ Г
Приложения:

Вас заинтересует
2 года назад
8 лет назад
10 лет назад
10 лет назад
10 лет назад
10 лет назад