• Предмет: Математика
  • Автор: Zarina2316
  • Вопрос задан 7 лет назад

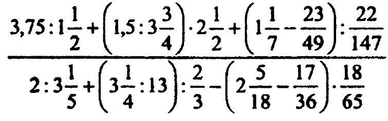
Даю 500 баллов кто ответит на этот вопрос Вопрос: в прик.файле .
Пж срочно

Приложения:

Ответы

Ответ дал: bezumniybober
1

Ответ:

16

Пошаговое объяснение:

потому что фотомач


Zarina2316: хаха
bezumniybober: Ого
Zarina2316: Если хочешь могу реально дать 500
Zarina2316: Только ответь на вопрос
Zarina2316: Ну так что????
bezumniybober: Можно
bezumniybober: Хэллоу
Zarina2316: Да
Zarina2316: Только ответь на вопрос
bezumniybober: Какой
Вас заинтересует