• Предмет: Алгебра
  • Автор: gpj9h6mtzm
  • Вопрос задан 7 лет назад

ПОМОГИТЕ ПОЖАЛУЙСТА
Очень надо 20 балов

Приложения:

Ответы

Ответ дал: dasha121264
1

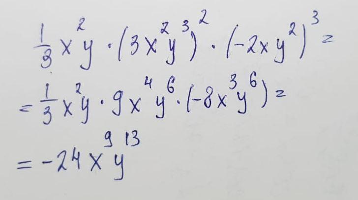
Ответ:

⅓x²y•(3x²y³)²•(-2xy²)³= -24x⁹y¹³


ban160684: не правилно
ban160684: извини правильно
ban160684: перепутала
ban160684: поставила сердечку
Ответ дал: Vivernar
1

Ответ:

Объяснение:

Правила работы со степенями

Приложения:
Вас заинтересует