• Предмет: Алгебра
  • Автор: Аноним
  • Вопрос задан 7 лет назад

Решить с обяснениями !!!!!!!!!!!!!!!!!

Приложения:

Ответы

Ответ дал: Ляляляля109
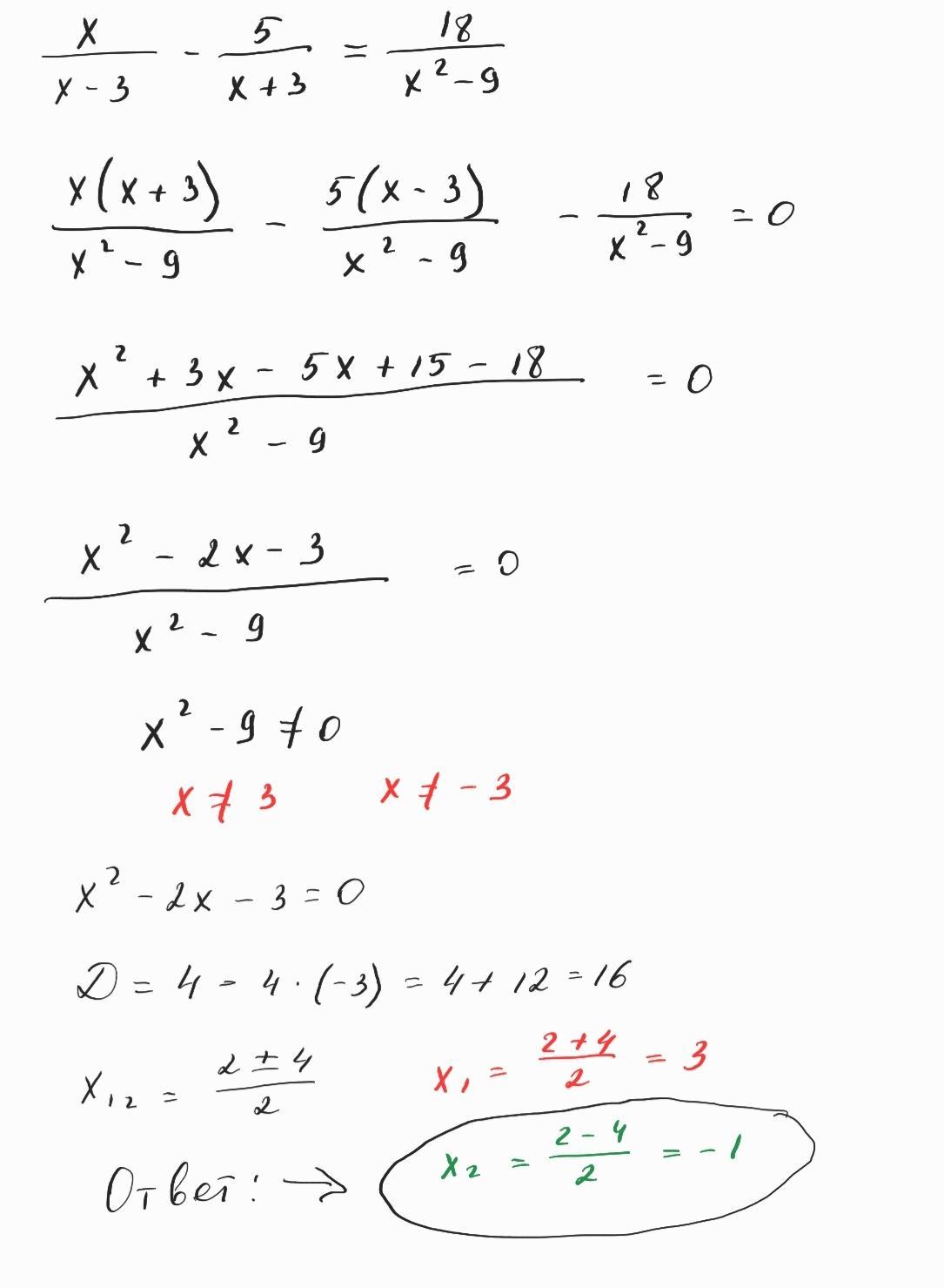
1

Решение представлено на фото

Приложения:
Вас заинтересует