• Предмет: Алгебра
  • Автор: sasa123456mail
  • Вопрос задан 7 лет назад

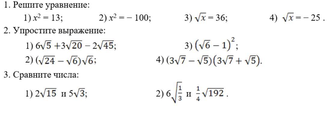
Решите пожалуйста на листе и прикрепите фото, дам 40 баллов

Приложения:

Ответы

Ответ дал: Jaguar444
3

Ответ:

Все примеры,до единого,в изображениях.

Приложения:
Вас заинтересует