• Предмет: Математика
  • Автор: alishpro
  • Вопрос задан 7 лет назад

переведите в десятичную дробь 3/25 (три двадцать пятых)​

Ответы

Ответ дал: sadykovanatalya2004
0

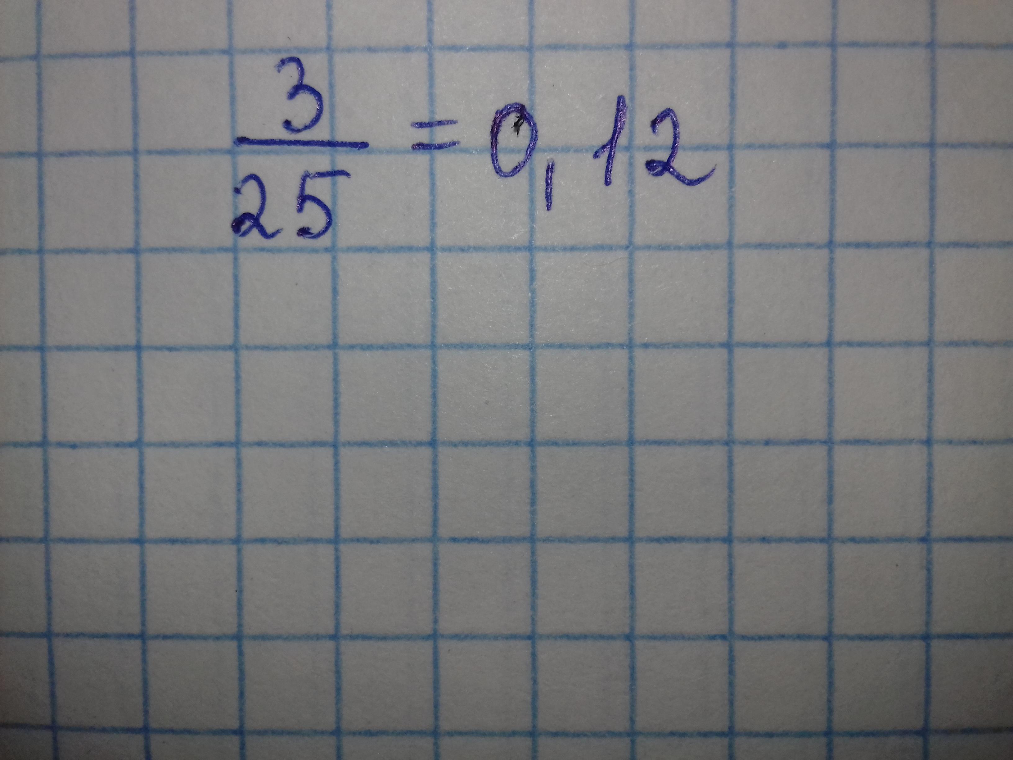
Ответ:

Смотрите фото ниже.

Пошаговое объяснение:

Приложения:
Ответ дал: aristoktararistokrat
0

Чтобы перевести дробь в десятичную,нужно числитель разделить на знаменатель

В данном примере,числителем будет 3 ,знаменателем 25

Поделить легче всего будет "уголком" ,на фото

3 меньше 25 ,значит и ответ будет так же меньше 1 , припысываем 0 к ответу, и добавляем 0 к 3 ,получим 30

берем 25 один раз ,остаток 5

И далее 50 делим на 25 = 2

Ответ: 0,12

Приложения:
Вас заинтересует