• Предмет: Алгебра
  • Автор: neekiu
  • Вопрос задан 7 лет назад

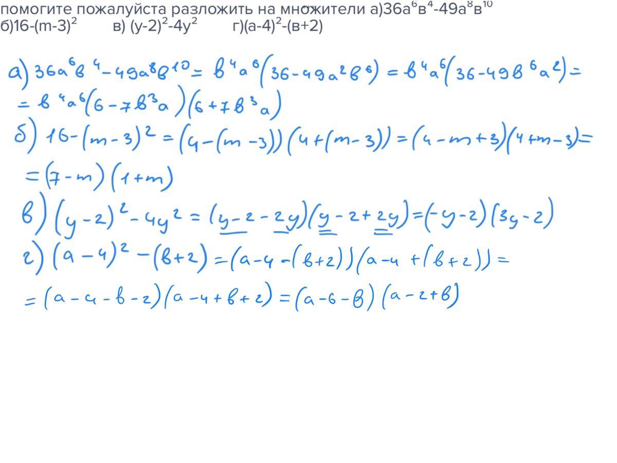
помогите пожалуйста разложить на множители а)36а⁶в⁴-49а⁸в¹⁰ б)16-(m-3)² в) (у-2)²-4у² г)(а-4)²-(в+2)​

Ответы

Ответ дал: pavluchykvika
0

Объяснение:

а) 36а⁶в⁴-49а⁸=(6а³в²)²- (7а⁴)²= (6а³в²- 7а⁴) (6а³в²+7а⁴)

б) 16-(m-3)²= (4-m+3)(4+m-3)=(7-m)(1+m)

в) (у-2)²-4у²= (у-2-2у)(у-2+2у)= (-у-2)(3у-2)

г) (а-4)²-(в+2)²= (а-4-в-2)(а-4+в+2)=(а-в-6)(а+в-2)

Ответ дал: caxarok888
0
Ответ на фотографии
Приложения:
Вас заинтересует