• Предмет: Математика
  • Автор: Аноним
  • Вопрос задан 7 лет назад

Срочно! Помогите плиз

Приложения:

Ответы

Ответ дал: jekadva
2

Ответ:

Пошаговое объяснение:

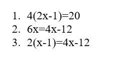
4(2x - 1) = 20

8x - 4 = 20

8x = 20+4

8x = 24

x = 24:8

x = 3

================

6x = 4x - 12

6x - 4x = -12

2x = -12

x = -12:2

x = -6

==============

2(x - 1) = 4x - 12

2x - 2  = 4x - 12

4x - 2x = 12 - 2

2x = 10

x = 10:2

x = 5

==========


liaseev: сори,в математике не шарю,да и тем более ответ уже есть)
Вас заинтересует