• Предмет: Математика
  • Автор: Vikawolfer
  • Вопрос задан 7 лет назад

Математика! 6 класс, зачеркнутые неинадо делать, дам 18 баллов

Приложения:

jekadva: много решать
Vikawolfer: Могу дать больше баллов

Ответы

Ответ дал: jekadva
1

Ответ:

Пошаговое объяснение:

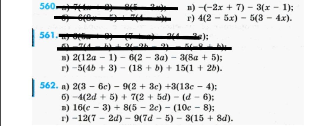
в) = 2x - 7 - 3x + 3 = -x - 4

г) = 8 - 20x - 15 + 20x = -7

=========================

561)

в) = 24a - 2 - 12 + 18a - 24a - 15 = 18a - 29

г) = -20b - 15 - 18 - b + 15 + 30b = 9b - 18

======================

562)

a) = 6 - 12c - 18 - 27c + 39c - 12 = -24

б) = -8d - 20 + 14 + 35d - d + 6 = 26d

в) = 16с - 48 + 40 - 16c - 10c + 8 = -10c

г) = -84 + 24d - 63d + 45 - 45 - 24d = -63d - 84


Vikawolfer: Спасибо огромное, сколько вам нужно баллов?
Вас заинтересует