Ответы
Ответ дал:
3
Ответ:
См. фотографии
Объяснение:
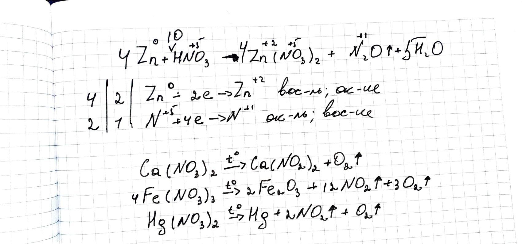
К третьему:
Все нитраты термически не устойчивы и продукты распада таковы:
для активных металлов, включая крайние (Rb - Na, кроме Li)
для средних по активности металлов, включая крайние (Mg - Cu, а также Li)
для металлов малой активности, включая крайние (Hg - Au)
Приложения:


FaerVator:
спасибо вам огромное ))))
Вас заинтересует
2 года назад
2 года назад
2 года назад
2 года назад
8 лет назад
8 лет назад
9 лет назад
9 лет назад