• Предмет: Математика
  • Автор: vpicugina39
  • Вопрос задан 7 лет назад

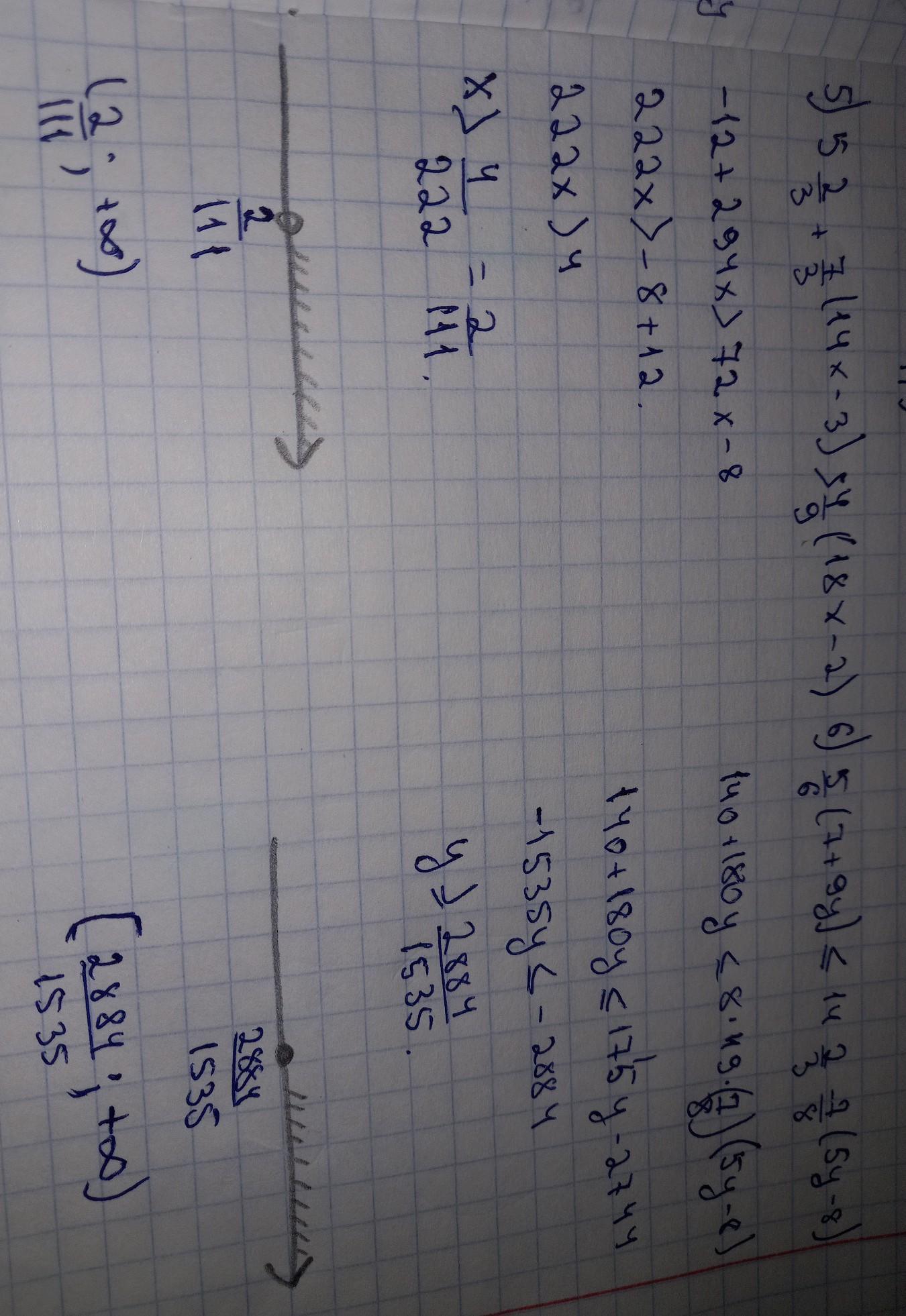
5) 5 2/3+7/3(14х-3)>4/9(18х-2);
6) 5/6(7+9у)≤14 2/3-7/8(5у-8).

Ответы

Ответ дал: duganovadilnura10
0

Ответ:

есть на фотоо

Пошаговое объяснение:

вот на фото

Приложения:
Вас заинтересует