• Предмет: Математика
  • Автор: tanavolkova1102011
  • Вопрос задан 7 лет назад

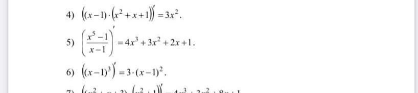
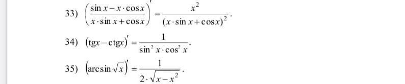
4 и 34 задание, очень нужно

Приложения:

Ответы

Ответ дал: Uraraka3
0

Ответ:

Чел, включай мозги, и прост смотр. с инета...

так будет быстрее и не надо будет ждать..

Вас заинтересует