Ответы
Ответ дал:
2
Ответ на фотографии
Приложения:

Ответ дал:
2
Ответ:
х = 8,9
Пошаговое объяснение:
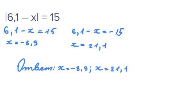
|6,1 – х| = 15
6,1 – х = 15
х = 15 - 6,1
х = 8,9
Пожалуйста 5 звезд и коронку!
Удачи в школе!!!
Tasnima09:
Т.к. модуль положительный, мы просто опускаем модуль.
Вас заинтересует
2 года назад
2 года назад
2 года назад
2 года назад
8 лет назад
8 лет назад
9 лет назад