Ответы
Ответ дал:
1
Ответ:
Пошаговое объяснение:
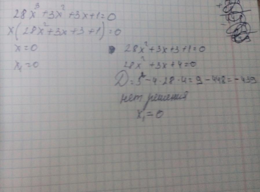
Приложения:

s080208:
Так если из 1 вынести х, то там будет 1/х?
Ответ дал:
2
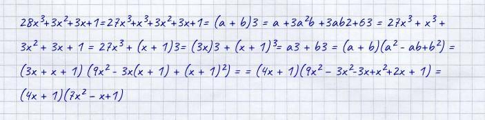
Ответ:
Смотри вложение
........
Приложения:

Вас заинтересует
2 года назад
8 лет назад
8 лет назад
9 лет назад
9 лет назад