( НУЖНА ПОМОЩЬ, ДАЮ 40 БАЛЛОВ)Продавец одинаковой массы бананов и яблок той же массы положил на одну ось весов 3 банана и 6 яблок, на другую - 5 бананов и 2 яблока. Затем весы были уравновешены. Какова масса каждого банана и масса каждого яблока, если 1 банан и 2 яблока вместе составляет 440 грамм?
Ответы
Ответ дал:
1
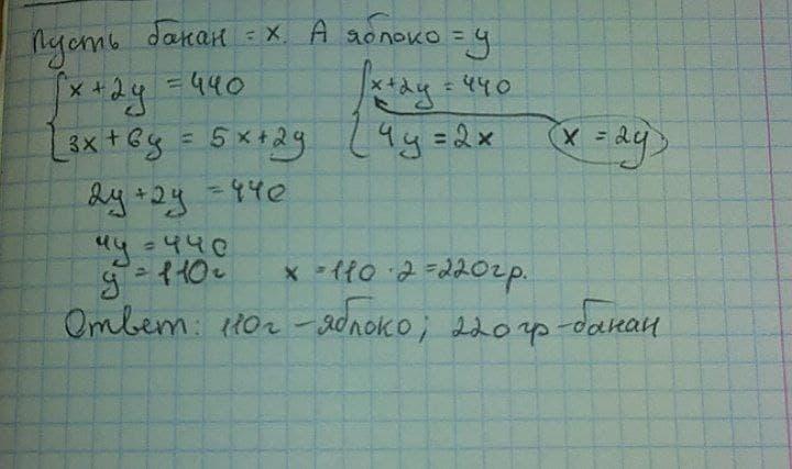
Ответ на фотографии:
Приложения:
Ответ дал:
1
Ответ:
3b+6a=5b+2a
1b+2a=440г
3b+6a=3(1b+2a)
3b+6a=1320 г
5b+2a=1320г
5b-3b=6a-2a
2b=4a
b=2a
2a+6a=8a=1320
a = 165г(яблоко)
440-330= 110г(банан)
Пошаговое объяснение:
3b+6a=5b+2a
1b+2a=440г
3b+6a=3(1b+2a)
3b+6a=1320 г
5b+2a=1320г
5b-3b=6a-2a
2b=4a
b=2a
2a+6a=8a=1320
a = 165г(яблоко)
440-330= 110г(банан)
Пошаговое объяснение:
Вас заинтересует
2 года назад
3 года назад
3 года назад
8 лет назад
10 лет назад