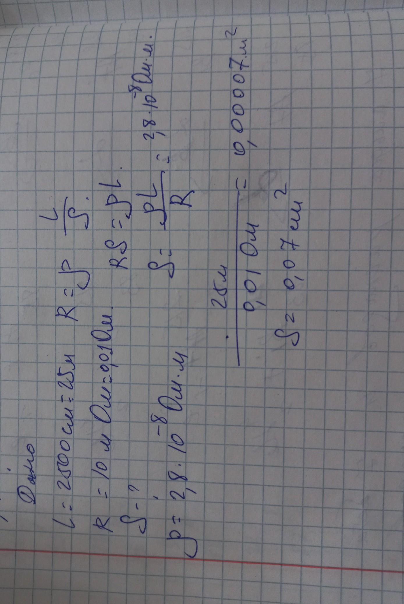
1.Длина алюминиевого провода 2500 см, а сопротивление 10 мОм. Определите площадь поперечного сечения провода.
2.Площади поперечных сечений железных проволок с одинаковыми длинами равны 0,6 и 1,2 см2. Какая из них обладает меньшим сопротивлением и во сколько раз.
3.Длина серебряного провода 0,7 км, площадь его поперечного сечения 2 мм2 , Чему равно сопротивление провода?
Ответы
Ответ дал:
0
Ответ:
......................
Приложения:

Вас заинтересует
2 года назад
2 года назад
2 года назад
2 года назад
8 лет назад
9 лет назад