• Предмет: Геометрия
  • Автор: kkklllllllh
  • Вопрос задан 7 лет назад

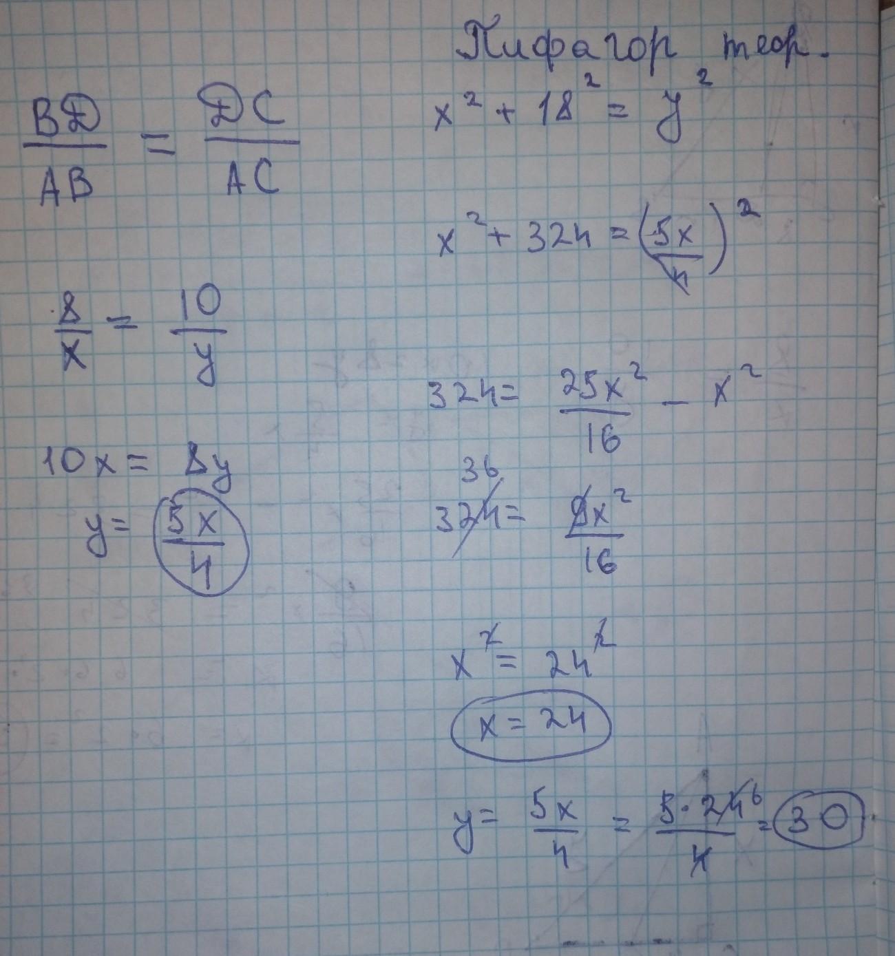
За даними рис. 4 знайдіть x i y
(За данными рисунка 4 найдите х и у) 8 класс

Приложения:

Ответы

Ответ дал: saidxuja0033
2
  • Вот решение x=24, y=30.

Приложения:
Вас заинтересует