• Предмет: Алгебра
  • Автор: zusupovarystan2
  • Вопрос задан 7 лет назад

помогите с 4 заданием 9 класс алгебра , )даю 50 баллов ​

Приложения:

Ответы

Ответ дал: Tagiyev01
1

Ответ:

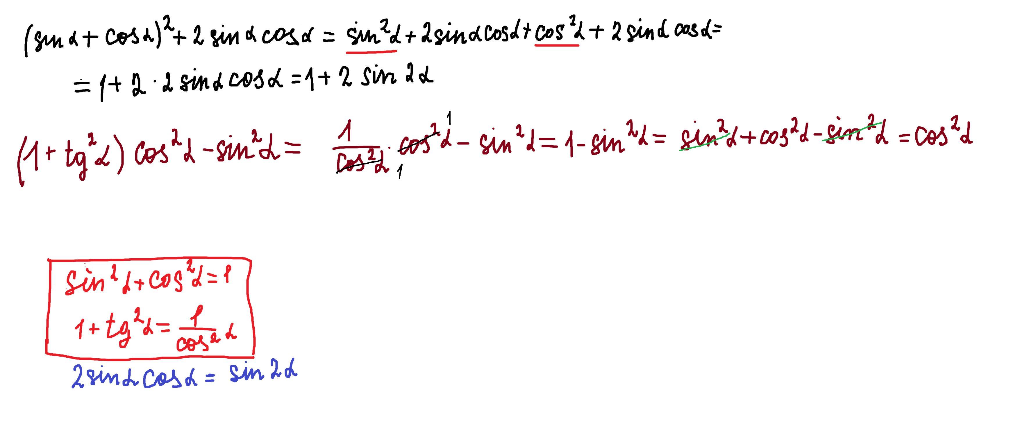
Cмотрите на фотографию)))

Объяснение:

Приложения:
Ответ дал: parus77
1

Ответ:

Объяснение:

решение внизу,формулы там же

Приложения:
Вас заинтересует