Ответы
Ответ дал:
1
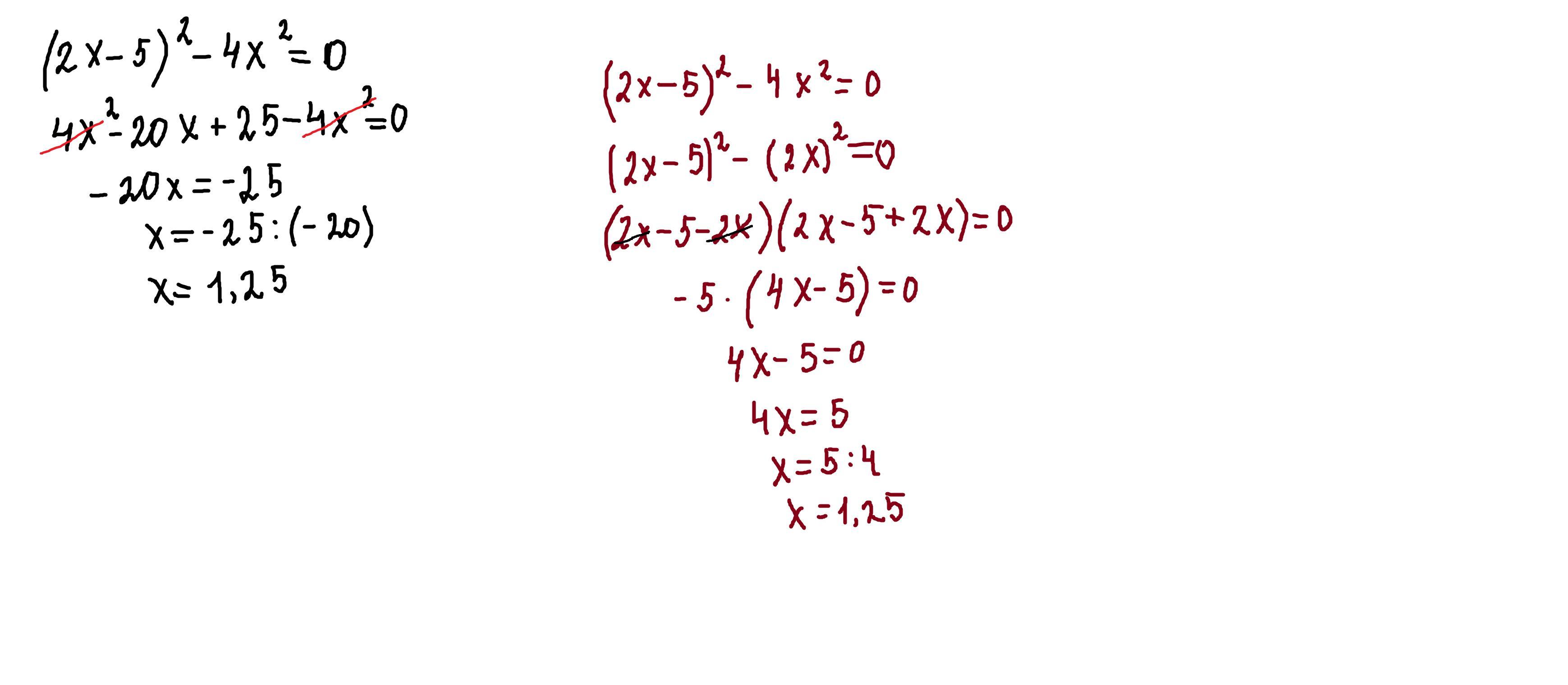
(2x-5)²-4x²=0;
(2x-5-2x)(2x-5+2x)=0;
-5(4x-5)=0 =>
4x-5=0;
x=1,25;
(2x-5-2x)(2x-5+2x)=0;
-5(4x-5)=0 =>
4x-5=0;
x=1,25;
Ответ дал:
1
Ответ:
х=1,25
Объяснение:
решение выбирай,какое больше подходит
Приложения:

Вас заинтересует
2 года назад
2 года назад
2 года назад
2 года назад
8 лет назад
9 лет назад
9 лет назад