• Предмет: Геометрия
  • Автор: sofia8728
  • Вопрос задан 7 лет назад

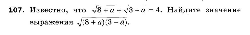
Привет,прошу объясните пожалуйста как решать этот номер,заранее спасибо!​

Приложения:

Ответы

Ответ дал: dariiadkrasiuk
0

Ответ:

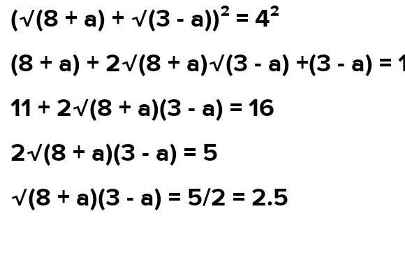
Это всё что знаю)......))((

Приложения:
Вас заинтересует