• Предмет: Алгебра
  • Автор: sofia8728
  • Вопрос задан 7 лет назад

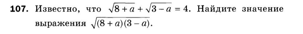
Помогите пожалуйста.​

Приложения:

Ответы

Ответ дал: sangers1959
1

Объяснение:

\sqrt{8+a}+\sqrt{3-a} =4\\(\sqrt{8+a}+\sqrt{3-a})^2 =4^2\\ 8+a+2*\sqrt{8+a}*\sqrt{3-a}+3 -a=16\\ 11+2*\sqrt{(8+a)*(3-a)}=16\\ 2*\sqrt{(8+a)*(3-a)} =5\ |:2\\\sqrt{(8+a)(3-a)}=2,5.


Аноним: сук. Опередил)
sofia8728: Спасибо большое!
sangers1959: Удачи.
Вас заинтересует