Ответы
Ответ дал:
0
Ответ:
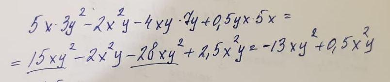
Вариант 1
Объяснение:
Приложения:

Вас заинтересует
2 года назад
2 года назад
2 года назад
2 года назад
8 лет назад
9 лет назад