Помогите пожалуйста с задачей :)
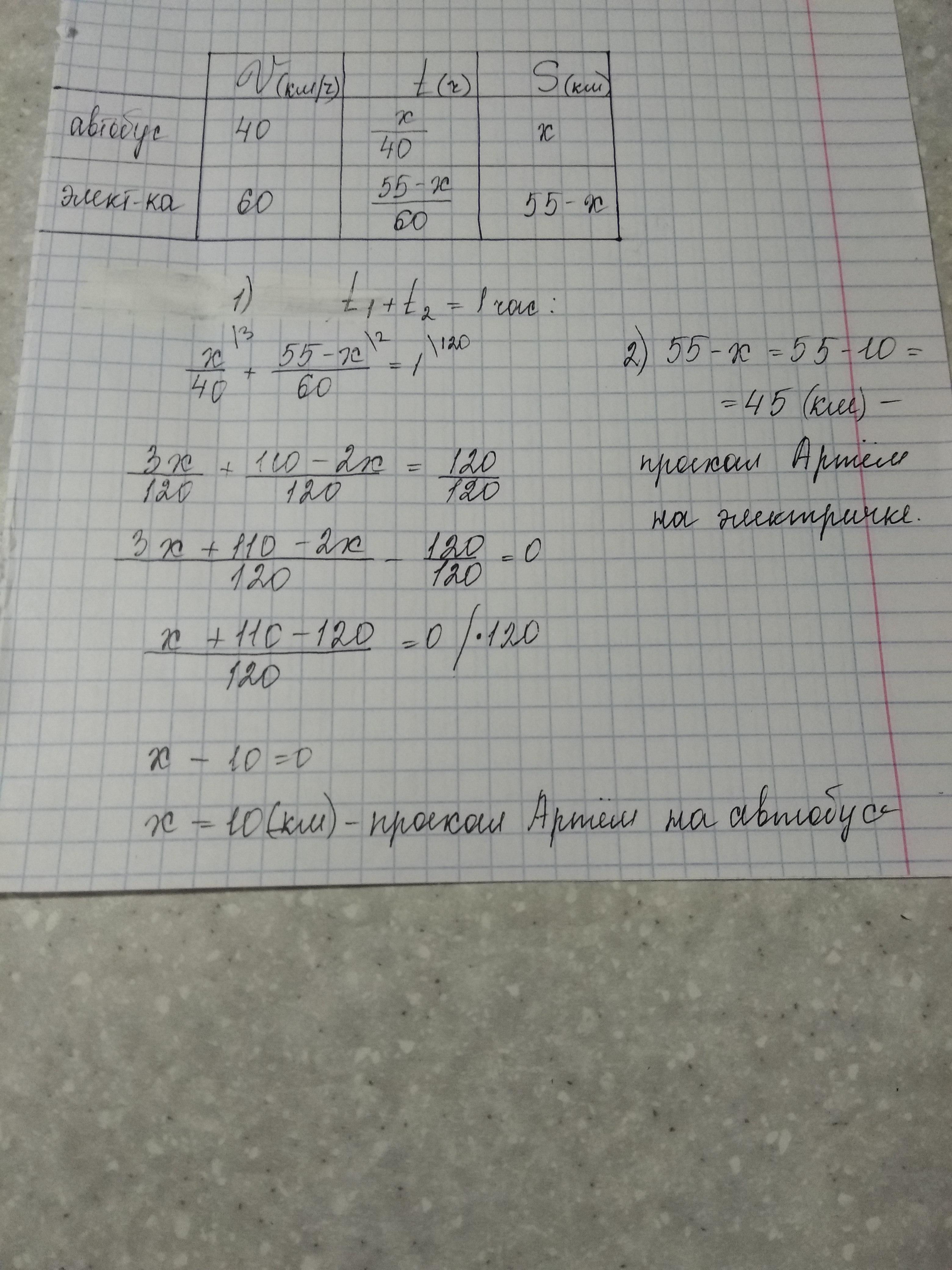
Дача Артема находится в 55 км от города. Он добирался туда 1 час: сначала ехал на автобусе со скоростью 40 км/ч, а потом на электричке со скоростью 60 км/ч. Сколько километров проехал Артем на автобусе и сколько - на электричке?
(((((( С помощью линейных уравнений ))))))))
Ответы
Ответ дал:
0
Ответ:
Пошаговое объяснение:
Приложения:

Вас заинтересует
2 года назад
2 года назад
8 лет назад
8 лет назад
9 лет назад