• Предмет: Математика
  • Автор: qwerrrt55
  • Вопрос задан 7 лет назад

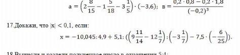
плиз помогите,дам 20 баллов,номер 17 плизз​

Приложения:

Ответы

Ответ дал: bevzusiieu
0

Ответ:

привет :488494

662-892-900

Пошаговое объяснение:2

Вас заинтересует