Перетворіть вираз у многочлен:
1) (y+2)(3y-5)
2) (x-1)(x2-x-2)
3) 3z(2z-1)+(z-3)(z+2)
Помогите пж!!!
Ответы
Ответ дал:
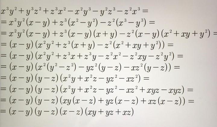
11
Пошаговое объяснение:
...........................
Приложения:

Аноним:
Поставь отличнику лучший ответ пожалуйста если не сложно пажалуйста
Ответ дал:
0
Ответ:
1) Выразим из первого уравнение значение.
x = (1 - 3z + 4y) / 2;
2) Подставим значение x во второе уравнение.
(1 - 3z + 4y) / 2 - 2y + 4z = 3;
1 - 3z + 4y - 4y + 8z = 6;
z = 1;
3) Подставим значение z во второе уравнение, помноженное на (-1) и в третье, помноженное на 2, чтоб избавиться от у.
4) Сложим уравнения, получим.
-x + 2y - 4 + 6x - 2y + 10 = 4 - 3;
5x = -5;
x = -1;
5) Подставим значение z и x в любое уравнение, к примеру, 1-е, найдём:
-2 - 4y + 3 = 1;
y = 0;
Ответ: z = 1, x = -1, y = 0.
Вас заинтересует
2 года назад
2 года назад
2 года назад
2 года назад
8 лет назад
9 лет назад