• Предмет: Алгебра
  • Автор: kakachka1294
  • Вопрос задан 7 лет назад

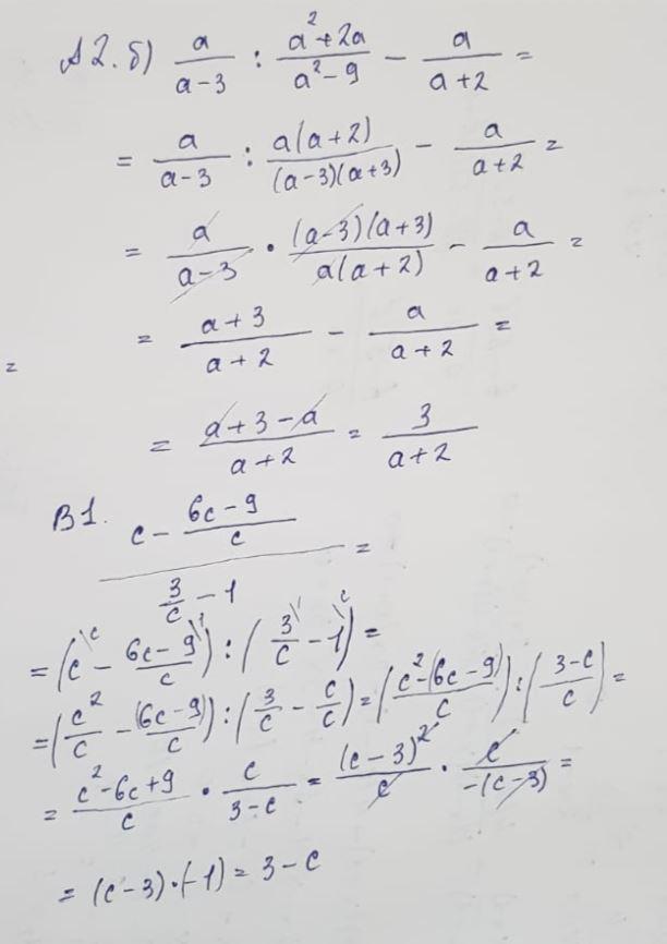
помогите срочноооо пж​

Приложения:

Ответы

Ответ дал: Vivernar
1

Ответ:

Объяснение:

Это просто дроби и правила для них те же самые: складываем и вычитаем с одинаковым знаменателем, сокращаем одинаковое.

Используются формулы сокращенного умножения.

Знак дроби - знак деления.

Приложения:
Вас заинтересует