• Предмет: Алгебра
  • Автор: Speesy
  • Вопрос задан 7 лет назад

а²с⁴/а³=а-¹с⁴?
можно ли при делении вычитать из меньшей степени бо́льшую?​

Ответы

Ответ дал: Vivernar
1

Ответ:

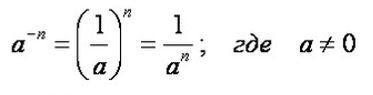
\frac{a^{2}c^{4}  }{a^{3} } =a^{-1} c^{4}=\frac{1}{a}*c^{4}=\frac{c^{4}}{a}

Объяснение:

Да, можно.

a^{-1} =\frac{1}{a^{1} } =\frac{1}{a}

Знак минус у степени говорит о том, что перед нами дробь

Приложения:
Вас заинтересует