Ответы
Ответ дал:
1
Извините за помарки, думаю понятно) (когда дробь=дробь с иксом и просто числитель первой умножаем на знаменатель второй, а после равно знаменатель первой на числитель второй, крест на крест
vas579:
Картинка не подгрузилась, напишу сюда решение
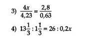
4x/4,23=2,8:0,63
4x*0,63=2,8*4,23
2,52x=11,844
x=4,7
13,1/3 : 1,1/3 = 26:0,2x
40/3 : 4/3 = 26/0,2x
10/1 = 26/0,2x
0,2x*10=26
2x=26
x=13
4x*0,63=2,8*4,23
2,52x=11,844
x=4,7
13,1/3 : 1,1/3 = 26:0,2x
40/3 : 4/3 = 26/0,2x
10/1 = 26/0,2x
0,2x*10=26
2x=26
x=13
Вас заинтересует
2 года назад
2 года назад
3 года назад
3 года назад
8 лет назад
8 лет назад