• Предмет: Алгебра
  • Автор: baseyko79
  • Вопрос задан 7 лет назад

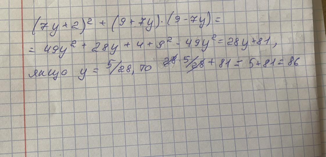
Спростіть вираз (7y+2)^2+(9+7y)×(9-7y) та обчисліть його значення,якщо y=5/28

Ответы

Ответ дал: dipaa
1
вот решение твоей проблемы,я очень старалась
Приложения:

baseyko79: Спасибо,а где 4 делась?
Вас заинтересует