• Предмет: Математика
  • Автор: gsdfsdfsd
  • Вопрос задан 7 лет назад

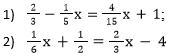
Решить все 2 с пошаговым объяснением
Даю 35 баллов!

Приложения:

Ответы

Ответ дал: hsjsjsajka
0

Пошаговое объяснение:


gsdfsdfsd: мне нужно с пошаговым объёснением
hsjsjsajka: Удали ответ тогда
Вас заинтересует