(вдруг получится)Решите уравнение самостоятельно:
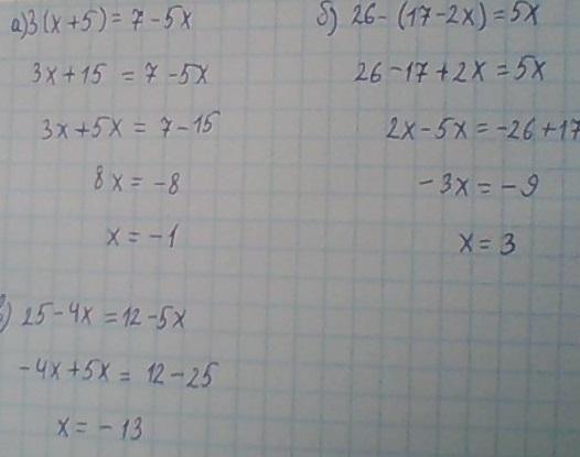
а) 3(х+5)=7-5х
б) 26-(17-2х)=5х
в) 25-4х=12-5х
Ответы
Ответ дал:
1
Ответ:
Пошаговое объяснение:
Приложения:

tsurikovnikitaplo:
спасибо огромное
Вас заинтересует
2 года назад
2 года назад
2 года назад
2 года назад
8 лет назад
8 лет назад
9 лет назад