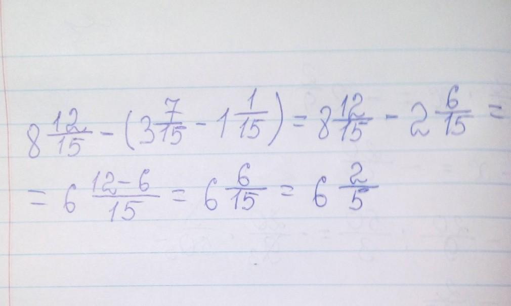
яке з навадених чисел дистанемо спростивши вираз 8 12/15-(3 7/15-1 1/15)
СРОЧНО!!! Полное решение !!!!!
Ответы
Ответ дал:
0
Ответ:
Пошаговое объяснение:
8 12/15-(3 7/15-1 1/15)= 8 12/15 - 2 6/15 = 6 6/15 = 6 2/5
Ответ дал:
0
Пошаговое объяснение:
Вот тебе ответ........
Приложения:

Вас заинтересует
2 года назад
2 года назад
2 года назад
8 лет назад
8 лет назад