• Предмет: Алгебра
  • Автор: pribytkova8383
  • Вопрос задан 7 лет назад

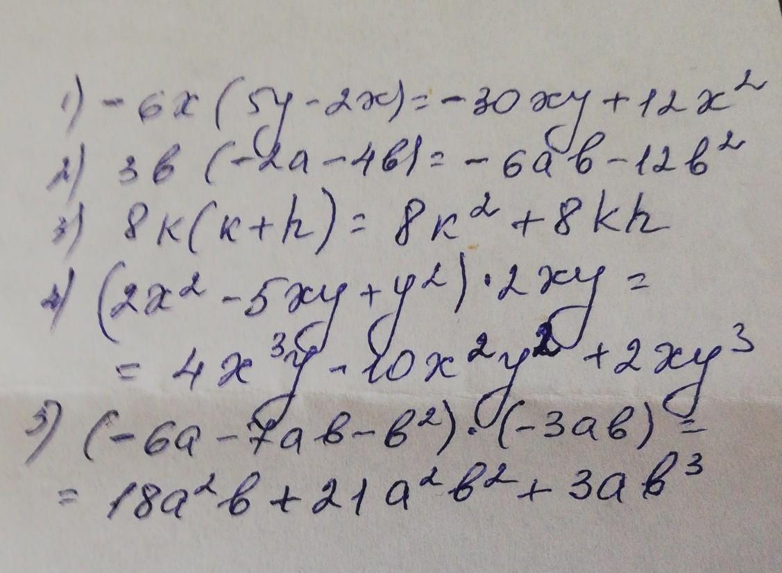
УМНОЖИТЬ ОДНОЧЛЕН НА МНОГОЧЛЕН
-6X*(5y-2x)
3b*(-2a-4b)
8k(k+h)
(2x^2-5xy+y^2)*2xy
(-6a-7ab-b^2)*(-3ab)

Ответы

Ответ дал: larisaserova53
0

Ответ:

Смотри решение на фото .

Приложения:
Вас заинтересует