• Предмет: Алгебра
  • Автор: stendoffer20083
  • Вопрос задан 7 лет назад

Освободитесь от иррациональной в знаменателе дроби: 9/√19+4

Ответы

Ответ дал: n1982
0

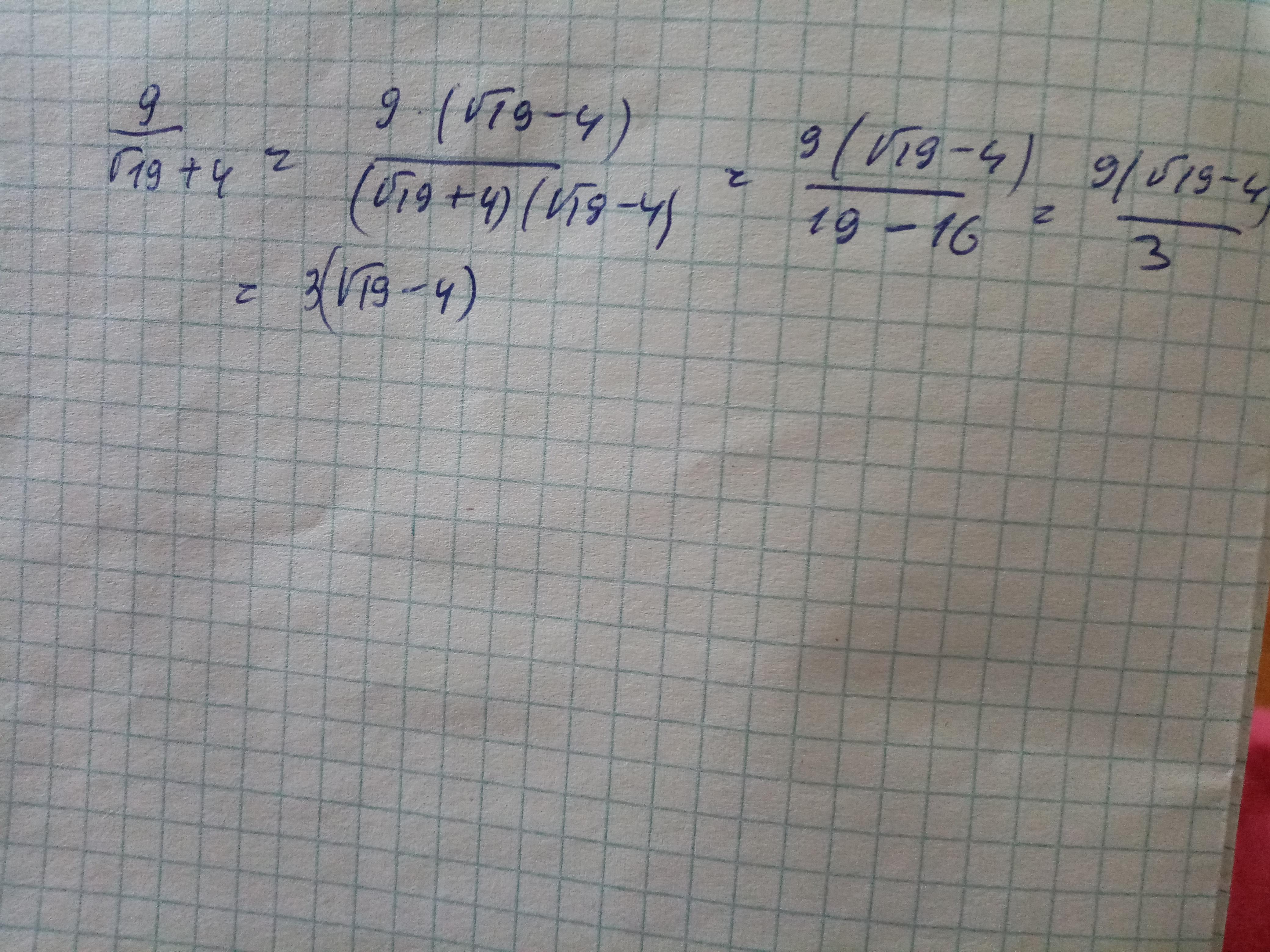
Ответ:

. . . .. . . . . . . . . . . . . . . . . . . .

Объяснение:

Приложения:
Ответ дал: OblivionFire
1

умножим числитель и знаменатель дроби на выражение, сопряжённое выражению 19+4, т.е. на 19-4. тогда.

  \displaystyle\frac{9}{ \sqrt{19} + 4 }  =  \frac{9( \sqrt{19} - 4) }{( \sqrt{19}  + 4)( \sqrt{19}  - 4)}  =  \frac{9( \sqrt{19} - 4) }{19 - 16}  =  \frac{9( \sqrt{19} - 4) }{3}  = 3( \sqrt{19}  - 4) = 3 \sqrt{19}  - 12.  \\

Использовали формулу разности

квадратов (а-в)(а+в)=а²-в².

Вас заинтересует