• Предмет: Математика
  • Автор: sashap2405
  • Вопрос задан 7 лет назад

даю много баллов помогите ​

Приложения:

Ответы

Ответ дал: kormazovamargarita
0

Ответ:

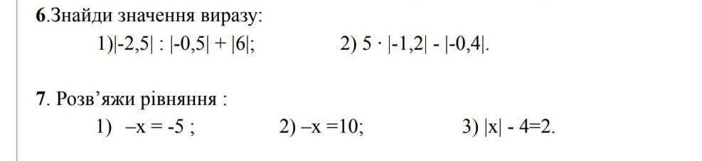
№6

1)

|-2,5|:|-0,6|+|6|=\\2,5:0,5+6=\\5+6=11

2)

5*|-1,2|-|-0,4|=\\5*1,2-0,4=\\6-0,4=5,6

№7

1)

-x=-5\\x=5

2)

x=10\\x=10

3)

|x|-4=2\\x-4=2\\x=2+4\\x=6

Вас заинтересует