• Предмет: Математика
  • Автор: aizekbetosky192
  • Вопрос задан 7 лет назад

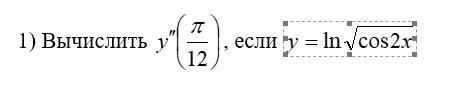
Помогите с матешой пж с решением!!!

Приложения:

Ответы

Ответ дал: nataBr
1

Ответ:

Производная второго порядка:

y'' = -tg²2x

Значение второй производной при х = π/12:

\displaystyle        y''\left(\frac{\pi }{12}\right)=-\frac{8}{3}

Пошаговое объяснение:

Вычислить производную второго порядка.

y=ln\sqrt{cos2x}

1. Вычислим производную первого порядка.

Здесь производная сложной функции.

Нам помогут формулы:

\displaystyle      \boxed {  (lnu)'=\frac{u'}{u} }     \displaystyle      \boxed {  (u^n)'=nu^{n-1}\cdot u'}     \displaystyle      \boxed {  (cosu)'=-sinu\cdot u' }

\displaystyle  y'=\frac{(\sqrt{cos2x})' }{\sqrt{cos2x} } =

\displaystyle  =\frac{\frac{1}{2}(cos2x)^{-\frac{1}{2}} \cdot(cos2x)' }{\sqrt{cos2x} } =

\displaystyle  =\frac{-sin2x\cdot(2x)'}{2\sqrt{cos2x}\cdot\sqrt{cos2x}  } =

\displaystyle  =\frac{-sin2x\cdot2}{2\cdot {cos2x}} =-\frac{sin2x}{cos2x}=-tg2x

2. Вычислим производную второго порядка.

y'' = (y')'

Нам понадобятся формулы:

\displaystyle  \boxed {(tgu)'=\frac{u'}{cos^2u} }

\displaystyle        y''=-\frac{(2x)'}{cos^22x}\displaystyle        =-\frac{2}{cos^22x}

3. Вычислим значение второй производной при х = π/12:

\displaystyle        y''\left(\frac{\pi }{12}\right) =-\frac{2}{(cos\frac{2\cdot\pi }{12} )^2}=\displaystyle        -\frac{2}{(cos\frac{\pi }{6} )^2} \displaystyle    =-\frac{2\cdot4}{3}= -\frac{8}{3}

Вас заинтересует