• Предмет: Математика
  • Автор: saeradzabborova1
  • Вопрос задан 7 лет назад

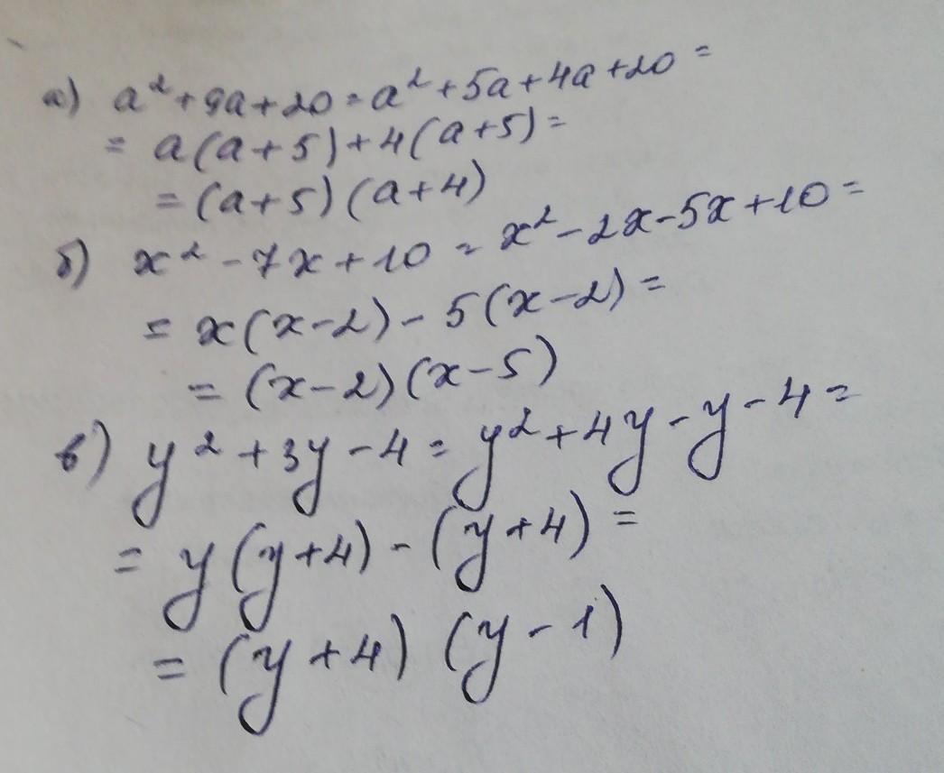
14. Представьте трёхчлен в виде произведения двух двучленов, за- менив предварительно его средний член суммой или разностью одночленов: с + 5c – 24 = ? + 8c – Зc – 24 =c(c + 8) — 3 (с + 8) = (с + 8)(с — 3) a) a? + 9a +20=a” + 5a + 40 + 20 = б) х?- 7х + 10 = в) y + Зу - 4-​

Приложения:

Ответы

Ответ дал: larisaserova53
1

Ответ:

Смотри решение на фото...

Приложения:

larisaserova53: кто отметил, что неверно?
Вас заинтересует