• Предмет: Алгебра
  • Автор: mihail2000mp
  • Вопрос задан 7 лет назад

Напишите многочлен в виде произведения
x²-y²+x+y​

Ответы

Ответ дал: Evreika77
1

Ответ:

Объяснение:

Смотри

Приложения:

mihail2000mp: спасибо большое
Ответ дал: NNNLLL54
1

Ответ:

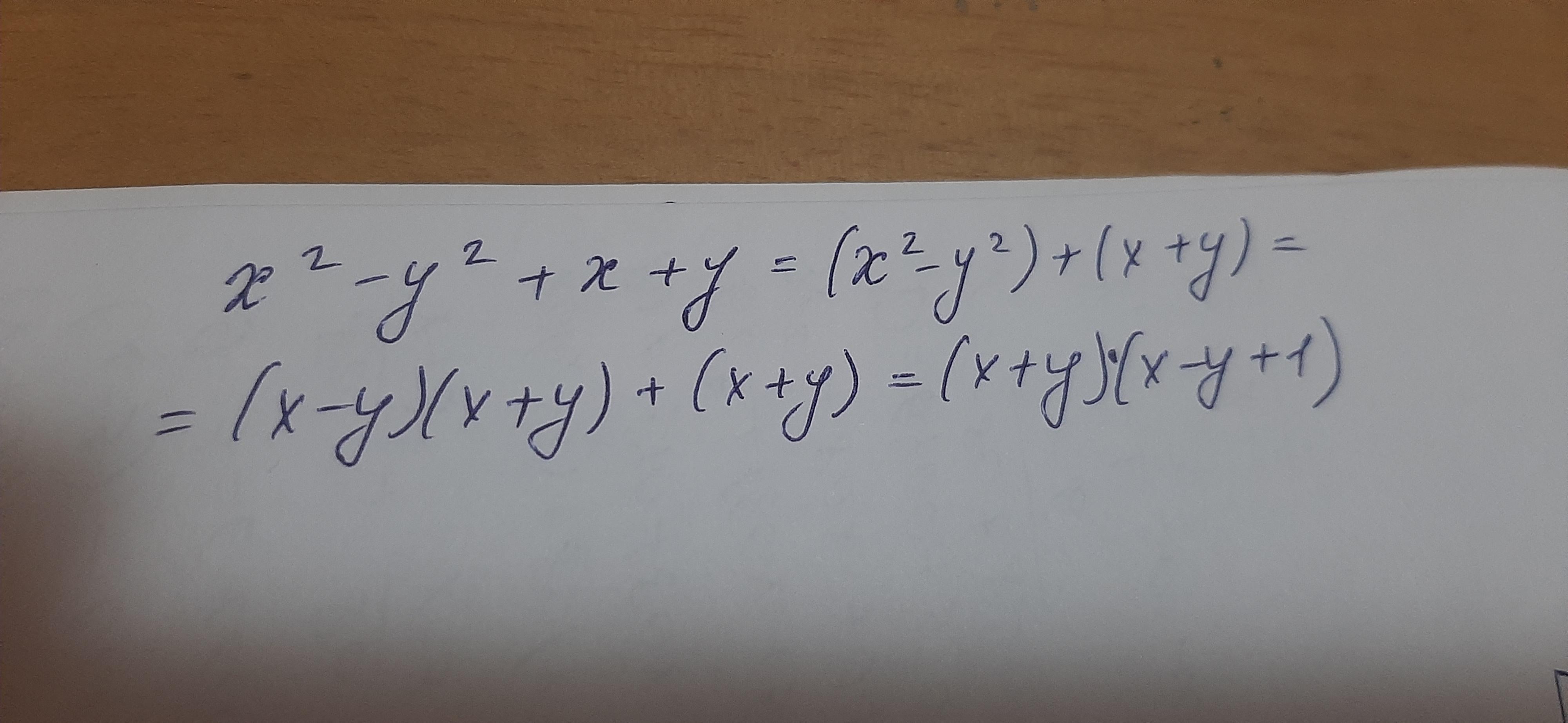
x^2-y^2+x+y=(x^2-y^2)+(x+y)=

разложим разность квадратов по формуле, получим

=(x-y)(x+y)+(x+y)=

вынесем общий множитель за скобку

=(x+y)(x-y+1)


ropenope361: извините, можете решить квадратные уравнения у меня в профиле?
Вас заинтересует