• Предмет: Математика
  • Автор: marinanuredinova
  • Вопрос задан 7 лет назад

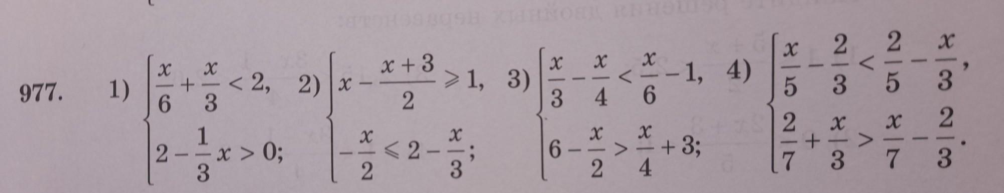
ПЖ ПОМОГИТЕ ДАЮ 10 БАЛЛОВ ​

Приложения:

Ответы

Ответ дал: frifaermaks147
0

Ответ:

1) ровно 5

2) ровно 0,2

3) ровно 19,6

4) ровно 8,0

Вас заинтересует