Всего одно выражение - 75 баллов.
Задание и выражение во вложении.
Если ищешь больше легких баллов, то знай, что таких вопросов я оставлю много. Чекай профиль!
Приложения:

Ответы
Ответ дал:
2
Ответ:
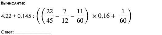
4,22+0,145:((22/45-7/12-11/60)×0,16+1/60)
=-1
Приложения:

Вас заинтересует
2 года назад
2 года назад
8 лет назад