• Предмет: Алгебра
  • Автор: mcmrgrow
  • Вопрос задан 7 лет назад

Всего одно выражение - 75 баллов.
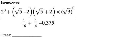
Задание и выражение во вложении.
Если ищешь больше легких баллов, то знай, что таких вопросов я оставлю много. Чекай профиль!

Приложения:

Ответы

Ответ дал: ScratchWest49sk8er
1

Ответ:

напишу сразу решение без самого примера:

 \frac{1 + ( \sqrt{5}  - 2)( \sqrt{5}  + 2) \times 1}{ \frac{1}{16}  +  \frac{1}{4}  -  \frac{3}{8} }  \\  \\ \frac{1 + 5 - 4}{ -  \frac{1}{16} }  =  \frac{2}{ -  \frac{1}{16} }  =  -  \frac{2}{ \frac{1}{16} }   =  - 32

Вас заинтересует