• Предмет: Математика
  • Автор: zherebetskiy
  • Вопрос задан 7 лет назад

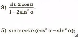
Помогите, там где плохо видно ето sin или cos​

Приложения:

Ответы

Ответ дал: perpetym60
1

Пошаговое объяснение:

sin a cos a

_________

1-2 sin 2a

sin a cos a (cos2 a-sin2 a

Вас заинтересует